寡核苷酸的HPLC分析方法
?
治療性寡核苷酸是由固相化學合成工藝生產。在合成過程中會產生工藝相關雜質和產品相關雜質。產品相關雜質包含許多目標產物的類似物(分子量的差別:堿基數N-1、N、N+1等),磷酸基S化等的不對稱化合物、異構體等。因此,雜質的分析監控對工藝和質量控制就顯得十分重要。液相色譜技術具有樣品適用范圍廣、分離效率高、速度快等特點,已成為核酸藥物生產與質控分析必不可少的重要手段。
?
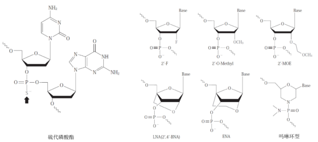
圖1?寡核苷酸的磷酸化及糖基修飾

磷酸化修飾:空間配置引起的異構體(但都是有效成分)
糖基修飾:通過架橋增強對核酸酶的耐受和降低毒性(如嗎琳環型)
堿基修飾:適配體立體構造的多樣性
表1 寡核苷酸分離常用的HPLC分離模式及適用的TSKgel色譜
分離模式 | 分離原理 | 特長及用途 | 適用的色譜柱 |
尺寸排阻色譜(SEC) | 分析物的分子尺寸大小 | 1.可以使用接近生理條件的洗脫溶液進行分離 2.基于堿基數不同分離(Mw) 3.用于質量控制或純度含量分析 ? | TSKgel UP-SW系列 |
TSKgel SWXL系列 | |||
TSKgel PWXL系列 | |||
TSKgel G-DNA-PW系列 | |||
離子交換色譜(IEC) | 分析物與固定相間的離子相互作用 | 樣品載量高 | TSKgel DNA-NPR ? |
可以根據磷酸基的數量分離樣品(N-1, N, N+1 ) ? | TSKgel DNA-STAT | ||
反相色譜(RPC) | 分析物與填料間疏水性 相互作用 | 分辨率高 結構異構體、不對稱體的分離 | TSKgel Oligo?DNA-RP |
TSKgel ODS-100V | |||
TSKgel Super-ODS | |||
親水作用色譜(HILIC) | 分析物與填料間親水性 相互作用 | 增強HILIC-ESI-MS質譜檢測靈敏度 (不加離子對試劑條件下) 結構異構體、不對稱體的分離 ? | TSKgel Amide-80 2μm |
應用實例






質粒的HPLC分析方法
隨著基因治療和DNA疫苗的迅速發展,高純度的質粒DNA的需求量越來越大。藥物級質粒DNA必須要符合宿主相關雜質、均一性方面的要求。因此,在質粒純度檢測時,需要區分出超螺旋、開環和線型三種拓撲異構體質粒。
?
表2?質粒分離常用的HPLC分離模式及適用的TSKgel色譜柱
分離模式 | 分離原理 | 特長及用途 | 適用的色譜柱 |
尺寸排阻色譜(SEC) | 分子尺寸大小 (質粒分子較大,在排阻V0附近洗脫) | 用于質量控制或純度含量分析 | TSKgel G6000PWxl TSKgel G-DNA-PW |
離子交換色譜(IEC) | 電荷的差異 (質粒帶高負電荷) | 分離質粒拓撲異構體 | TSKgel DNA-NPR |
疏水色譜(HIC) | 疏水性的差異 | 分離質粒拓撲異構體 | TSKgel Butyl-NPR |
應用實例


*如需更詳細的資料,請聯系我們!